Hello Visitor!
Log In
or
Register
Home
My profile
Home
About
About M&H
Aims and Scope
Editorial Board
Reviewers
Issues
Current Issue
Browse Archive
Search
Article In Press
For Authors
Instruction To Authors
Online Submission
For Reviewers
Instruction To Reviewers
Contact
Reviewer Agreement Form
Search issue
MEDICINE & HEALTH
About
Aims and Scope
Editorial Policies and Guidelines
Editorial Board
Issues
Current Issue
Browse Archive
For Authors
Guidelines for Authors
Submit manuscript
Keyword guideline (MeSH)
Guidelines for online submission
For Reviewers
Review Comments Form
Reviewer Agreement Form
Guide for Reviewer
Related Links
Universiti Kebangsaan Malaysia
UKM Medical Centre
Centre for Research and Instrumentation Management
Centre for Graduate Management
Home
Share
|
diagnosis
Traumatic Small Bowel Injury
Article |
December 28, 2021 - 4:05pm
| By
Mohamed saleem sak
,
mohd saiboon i
Related Terms:
bedside ultrasound
diagnosis
trauma
Case report
diagnosis
kecederaan
Ultrasonografi
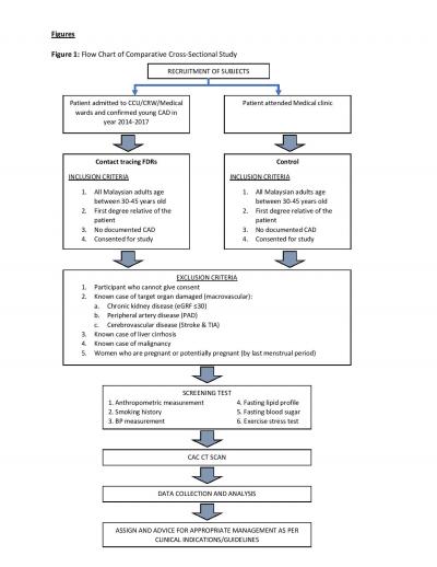
Value of Calcium Scores in Young CAD Patient Relatives
Article |
June 26, 2021 - 11:16am
| By
Mohd Ruslan M
,
Mohd Shawal FM
,
Norzailin AB
,
Shathiskumar G
,
Tiau WJ
,
Oteh M
,
Hamat Hamdi CH
Related Terms:
coronary artery disease
diagnosis
Original article
primary prevention
risk factors
diagnosis
faktor risiko
pencegahan awal
Penyakit koronari arteri
Novice Emergency Sonographer
Article |
August 12, 2019 - 1:53pm
| By
FARAH NA
,
Ismail MS
Related Terms:
diagnosis
emergency department
intussusception
paediatric
ultrasound
Case report
diagnosis
intususepsi
Jabatan Kecemasan
pediatrik
ultrabunyi
Read more
Primary Adenocarcinoma of the Fallopian Tube Mimicking Pelvic Inflammatory Disease
Article |
August 3, 2012 - 2:11pm
| By
Tamby MR
,
Juliana MB
,
Wan Hamilton WH
,
Hemlata KG
,
Masir N
Related Terms:
diagnosis
fallopian tube carcinoma
pelvic inflammatory disease
Case report
diagnosis
karsinoma tiub falopian
penyakit inflamatori pelvis